Oklahoma Student Transfers: Your Guide

V.Ijoomla 10 views
Oklahoma Student Transfers: Your Guide

Oklahoma Student Transfers: Your Guide

Hey everyone! So, you’re looking into Oklahoma student transfers , right? Maybe you’ve moved, or your kiddo needs a change of scenery for their education. Whatever the reason, navigating the transfer process can feel like a maze. But don’t sweat it, guys! We’re going to break down everything you need to know about student transfers in Oklahoma, specifically how the Oklahoma State Department of Education plays a role. We’ll cover the basics, your rights, and some tips to make this whole thing as smooth as possible. Getting your child settled into a new school is super important, and understanding the policies makes a world of difference. Let’s dive in!

Understanding Student Transfers in Oklahoma

Alright, let’s get down to the nitty-gritty of Oklahoma student transfers . Basically, a student transfer happens when a student wishes to enroll in a school district other than the one they are currently assigned to based on their residential address. This could be for a variety of reasons – maybe your new job landed you in a different part of town, or you believe another school offers a better fit for your child’s academic or extracurricular needs. The Oklahoma State Department of Education (OSDE) provides the framework and guidelines for these transfers, ensuring fairness and accessibility for students across the state. It’s crucial to remember that while the OSDE sets the rules, the actual approval and management of transfers typically happen at the local school district level. Each district will have its own specific procedures, forms, and deadlines, so it’s vital to check with the district you wish to transfer into first. We’re talking about ensuring your child gets the best educational opportunities, and sometimes that means looking outside your immediate zone. The laws and policies surrounding these transfers are designed to offer flexibility while maintaining the integrity of school funding and resource allocation. So, when you’re thinking about a transfer, consider it not just a change of building, but a potential pathway to new experiences and educational growth. Remember, the goal is to find the best educational environment for your student, and understanding the transfer process is the first step in achieving that.

Key Policies and Regulations

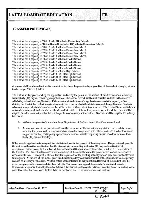
The Oklahoma State Department of Education oversees the student transfer policies in the state, ensuring that all districts adhere to certain standards. One of the most significant pieces of legislation is Oklahoma Statute Title 70, Section 1-109 , which deals with the transfer of students. This statute outlines the conditions under which students can transfer between school districts. Generally, a student can request a transfer to a non-resident district. However, there are specific criteria and limitations. For instance, districts are not obligated to accept transfers if it would overcrowd their facilities or negatively impact their educational programs. The statute also details the timeframe for transfer applications, usually requiring them to be submitted by a certain date each year. Important note for parents: You need to be aware that accepting a transfer often means the student is not eligible for certain school district-provided transportation. This is a big one to consider, especially if your current school bus route won’t extend to your new school. Furthermore, the receiving district has the authority to approve or deny transfer requests based on capacity and other factors. The OSDE provides resources and guidelines to help districts implement these policies consistently. They might offer model forms or procedural recommendations, but the ultimate decision-making power lies with the local school boards. It’s also worth noting that there can be provisions for hardship transfers, which might be considered outside the regular application window under specific, documented circumstances. Always check the specific district’s policies, as they might have additional requirements or nuances. Staying informed about these policies is key to a successful transfer. The OSDE acts as the state-level regulator, ensuring that the process is fair and that students’ educational needs are considered.

The Transfer Process: Step-by-Step

Okay, so you’ve decided a transfer is the way to go. What’s next? Let’s break down the Oklahoma student transfer process so you know exactly what to expect. First things first, you need to identify the school district you want your child to transfer into . Do some research! Look at their academic programs, extracurricular activities, class sizes, and any special resources they offer. Once you’ve got your target district, your next move is to contact their administration office. This is super important, guys. Don’t just show up on the first day of school hoping for the best! You’ll need to inquire about their specific transfer application procedures. Most districts will have a dedicated form you’ll need to complete. This form typically asks for information about the student, the reason for the transfer request, and your current school district. You’ll also likely need to provide supporting documents, such as proof of residency (even though you’re transferring out of your resident district, they might still want to see where you currently live), the student’s academic records (transcripts, grades, attendance records), and possibly immunization records. Deadlines are critical . Most districts have an annual window for accepting transfer applications, often in the spring or early summer for the upcoming school year. Missing this window can mean you have to wait until the next cycle, unless there’s a documented hardship. Once you submit the application and all required documents, the receiving school district’s administration or school board will review it. They’ll consider factors like available space in the requested grade level and program, the student’s academic standing, and whether accepting the transfer would impose an undue burden on the district. Some districts might have an interview process or require a meeting. If your transfer is approved, you’ll receive official notification. Then, you’ll need to formally withdraw your child from their current school and complete the enrollment process at the new school. This might involve another set of forms and potentially an orientation. If the transfer is denied, the district should provide a reason, and you may have the option to appeal the decision through the district’s established process. Remember to keep copies of everything – applications, letters of approval or denial, and any communication with the school districts. This documentation is your best friend throughout the process.

Choosing the Right District

When you’re embarking on the Oklahoma student transfer journey, picking the right district is arguably the most crucial step. It’s not just about finding a school with an open spot; it’s about finding a place where your child can thrive academically, socially, and emotionally. So, how do you go about this? First off, do your homework , guys! Start by researching districts that are not your resident district. Look at their websites – they are treasure troves of information. You’ll find details about their curriculum, special programs (like gifted and talented, STEM, arts), extracurricular activities (sports, clubs, music), and school performance data. The Oklahoma State Department of Education website itself can be a good starting point for general state-level data, but you’ll want to dig deeper into individual district offerings. Consider what’s most important for your child. Are they a budding scientist who would benefit from a strong STEM program? Are they passionate about theater? Do they need a smaller class size for more individualized attention? Think about the school culture, too. Is it collaborative or competitive? Does it seem like a supportive environment? Don’t be afraid to reach out directly to the districts you’re considering. Call their administrative offices and ask specific questions. Ask about their transfer policies, obviously, but also inquire about class sizes, teacher-student ratios, available support services (like counseling or special education), and any unique opportunities they provide. Visiting the school, if possible, is highly recommended . Sometimes, you just get a feel for a place when you walk through the doors. See if you can arrange a tour or attend a school event. Talk to parents whose children already attend the school if you can. Their firsthand experiences can be invaluable. Remember, the goal of a transfer is often to find a better educational fit, so make sure the district you choose aligns with your child’s needs and your family’s values. This initial research phase is critical to ensuring a successful and beneficial transfer.

Gathering Necessary Documents

Alright, let’s talk about the paperwork involved in Oklahoma student transfers . This is where things can get a bit tedious, but trust me, being prepared is half the battle! The specific documents required can vary slightly from one school district to another, but there’s a core set of items you’ll almost always need. First and foremost, you’ll need a completed Transfer Request Form . As we mentioned, this is usually provided by the district you’re applying to. Make sure you fill it out completely and accurately – no sloppy work here, guys! Next up, proof of residency . Now, this might seem a little counterintuitive since you’re requesting to attend a school outside your resident district, but districts often require proof of your current physical address. This could be a utility bill, a lease agreement, or a mortgage statement. Check with the receiving district precisely what they accept . You’ll also need your child’s academic records . This typically includes their most recent report cards, transcripts (especially for older students), and standardized test scores. These documents help the receiving school understand your child’s academic performance and placement needs. Attendance records are also crucial; a history of good attendance can be a positive factor. Immunization records are a must for any school enrollment, so make sure those are up-to-date and readily available. Depending on the reason for the transfer or the student’s needs, you might also need special education records (like an IEP or 504 plan), disciplinary records , or even a birth certificate . It’s always best to contact the receiving district’s administrative office and get a definitive checklist of all required documents before you start gathering them. Proactive communication here will save you a lot of headaches down the line. Keep digital and physical copies of everything, just in case! Being organized with your documents is key to a smooth application process.

Common Challenges and How to Overcome Them

Even with the best intentions, Oklahoma student transfers can sometimes hit a few bumps in the road. Let’s talk about some common challenges you might face and, more importantly, how to tackle them head-on. One of the biggest hurdles is often capacity issues . A school district might have a policy that limits the number of non-resident students they can accept, or a specific grade level might already be full. The solution? Be proactive and apply early. The sooner you get your application in, the better your chances. Also, be prepared to have a second or third choice district in mind. Don’t put all your eggs in one basket! Another challenge can be transportation . As we touched upon earlier, most districts are not required to provide transportation for transferred students. This means you’ll be responsible for getting your child to and from school. If this is a major concern, you need to assess your daily commute and logistics carefully. Can you manage the daily drop-offs and pick-ups? Are there public transportation options? Sometimes, a transfer might be denied due to lack of a valid reason as defined by district policy, although typically any reasonable request is considered. The key here is to clearly articulate your reasons for the transfer in your application. Focus on how the new school will better serve your child’s educational needs or well-being. If your transfer is denied, don’t give up immediately . First, politely request a clear explanation for the denial. Understand the specific reasons. Then, inquire about the district’s appeal process. Sometimes, additional information or a follow-up meeting can change the outcome. Remember, the Oklahoma State Department of Education sets the overarching framework, but local districts have discretion. Building a good relationship with the district administration through respectful communication can also go a long way. Finally, understand the timelines . Missing deadlines is an easy way to get your transfer request sidelined. Mark your calendar, set reminders, and keep track of all communication. By anticipating these common challenges and having a plan, you can navigate the transfer process more effectively and increase your chances of a successful outcome for your child.

So, what happens if your Oklahoma student transfer request gets denied? Ugh, that’s never fun, is it? But don’t despair, guys! A denial isn’t always the final word. The first step is to understand why it was denied. Politely request a written explanation from the school district. Common reasons include lack of space in the requested grade or program, the application being incomplete, or missing the deadline. Understanding the specific reason is crucial for figuring out your next steps . If the reason is something you can address – like incomplete paperwork – you might be able to submit corrected documents if the district allows it. If the denial is due to capacity, you might need to consider alternative districts or wait until the next application period. If you believe the denial was made in error or unfairly, you should inquire about the district’s formal appeal process . This process varies by district, but it typically involves submitting a written appeal to the school board or a designated committee. You’ll likely need to present your case, explaining why you believe the transfer should be approved, and potentially provide additional supporting documentation. Again, keeping detailed records of all communication and submitted documents is your best defense here. While the Oklahoma State Department of Education provides the general guidelines, the appeal process is usually managed at the local district level. It’s important to remain respectful and professional throughout this process, even if you’re feeling frustrated. Sometimes, a well-reasoned appeal, presented calmly and with all necessary evidence, can lead to a reversal of the initial decision. If all else fails, and your transfer request is ultimately denied, you’ll need to reassess your options, which might include remaining in your resident district or exploring other educational alternatives.